罐头食品金属容器通用技术要求GB/T14251—2017
文/凤巢包装
罐头食品金属容器通用技术要求
General technical standard for metal container of canned food
GB/T14251—2017
代替GB/T 14251-1993
目次
前言
1 范围
2 规范性引用文件
3 术语和定义
4 产品分类
5 质量要求
6 食品安全要求
7 试验方法
8 检验规则
9 标志、包装、运输与贮存
附录A(规范性附录)用于罐头金属容器焊接用的纯铜圆线质量要求
附录B(资料性附录)叠接长度和叠接率计算法、查表法
前 言
本标准按照GB/T1.1-2009给出的规则起草。
本标准代替GB/T14251-1993《镀锡薄钢板圆形罐头容器技术条件》,与GB/T 14251-1993相比,主要技术变化如下:
——修改了标准名称
——扩大标准适用范围(见第1章,1993年版的第一章);
——增加了术语“覆膜铁”“覆膜铝”“罐体”“三片罐”“两片罐”“浅冲两片罐”“素铁罐”“涂料铁罐”“涂料铝罐”“覆膜铁罐”“覆膜铝罐”“圆罐”“异形罐”“扩口罐”“直身罐”“缩颈罐”“焊缝补涂罐”“滚筋罐”“撑胀罐”“卷开罐”“易开盖”“易撕盖”“罐盖”“补涂带”“毛刺”“冷焊”“针孔”“击穿”“内涂膜完整性”“二重卷边”“身钩卷入率”“盖钩卷入率”“外挤胶”“凸角”“焊缝错位”“焊缝拖尾”“罐内壁腐蚀”“均匀腐蚀”“集中腐蚀”“异常腐蚀”(见3.1、3.2、3.3、3.4、3.5、3.6、3.7、3.8、3.9、3.10、3.11、3.12、3.13、3.14、3.15、3.16、3.17、3.18、3.19、3.20、3.21、3.22、3.23、3.24、3.25、3.26、3.27、3.28、3.30、3.31、3.48、3.49、3.50、3.54、3.56、3.57、3.63、3.64、3.65和3.66);
——删除了术语“锈罐”“棱角”“接缝盖钩完整率”“填料挤出”“锡路毛糙”“堆锡”“焊缝砂眼”“突角”(见1993年版的3.1、3.2、3.15、3.16、3.17、3.18、3.19、3.23)
——增加了产品分类(见第4章);
——修改了质量要求(见第5章,1993年版第4章);
——增加了食品安全要求(第6章);
——修改了分析方法(见第7章,1993年版第5章);
——修改了检验规则(见第8章,1993年版第6章);
——修改了附录A。
本标准由全国食品工业标准化技术委员会(SAC/TC64)提出并归口。
本标准起草单位:奥瑞金包装股份有限公司、义乌市易开盖实业公司、海南出入境检验检疫局、厦门银鹭食品集团有限公司、嘉美食品包装(滁州)集团、升兴集团股份有限公司、福建福贞金属包装有限公司、福建标新集团(漳州)制罐有限公司、中国食品发酵工业研究院、中国罐头工业协会。
本标准主要起草人:陈玉飞、王小华、王玉健、雷益聚、范志龙、习志兰、陈慧勇、张木生、张作全、仇凯、杜杰、吴刚、晁曦。
本标准所代替标准的历次版本发布情况为:
—— GB/T 14251-1993。
罐头食品金属容器通用技术要求
1 范围
本标准规定了罐头食品金属容器的术语和定义,产品分类、质量要求、食品安全要求、试验方法、检验规则、标志、包装、运输与贮存等要求。
本标准适用于以镀锡或镀铬薄钢板、铝合金薄板制成的罐头食品空罐和实罐容器。
2 规范性引用文件
下列文件对于本文件的应用是必不可少的。凡是注日期的引用文件,仅注日期的版本适用于本文件。凡是不注日期的引用文件,其最新版本(包括所有的修改单)适用于本文件。
GB/T 2828.1计数抽样检验程序 第1部分:按接收质量限(AQL)检索的逐批检验抽样计划
GB 4806.9 食品安全国家标准 食品接触用金属材料及制品
GB/T 5231-2012 加工铜及铜合金牌号和化学成分
GB/T 6682 分析实验室用水规格和试验方法
QB/T 2763 -2006涂覆镀锡(或铬)薄钢板
3 术语和定义
下列术语和定义适用于本文件。
3.1 覆膜铁 laminated steel
通过熔融法或胶粘法贴合一层高分子薄膜在镀锡或镀铬薄钢板表面而成的一种兼有高分子材料和金属材料双重性能的复合材料。
3.2 覆膜铝 laminated aluminum
通过熔融法或胶粘法贴合一层高分子薄膜在铝合金薄板表面而成的一种兼有高分子材料和金属材料双重性能的复合材料。
3.3 罐体 can body
由金属罐身与顶盖或底盖结合或用整块金属薄板冲压拉拔成型而成的容器。
3.4 三片罐 three-piece can
由金属顶盖、罐身和底盖三片材料结合而成的包装容器。
3.5 两片罐 two-piece can
罐底和罐身用整块金属薄板冲压拉拔成型的罐体与金属顶盖密封而成的容器。
3.6 浅冲两片罐 two-piece drawn can
罐底和罐身用整块金属薄板一次冲压拉拔成型的罐体与金属顶盖结合而成的包装容器,其罐高与罐经之比小于1。
3.7 素铁罐 plain tinplate can
罐身采用内壁无覆膜或涂膜的镀锡薄钢板制成的包装容器。
3.8 涂料铁罐 coated steel can
罐身采用内壁涂膜的镀锡(铬)薄钢板制成的包装容器。
3.9 涂料铝罐 coated aluminum can
罐身采用内壁涂膜的铝合金薄板制成的包装容器。
3.10 覆膜铁罐 laminated steel can
罐身采用覆膜铁材料制成的包装容器。
3.11 覆膜铝罐 laminated aluminum can
罐身采用覆膜铝材料制成的包装容器。
3.12 圆罐 round can
外形为圆柱体的金属罐。
3.13 异形罐 irregularcan
外形为非圆柱体金属罐的总称。
3.14 扩口罐 expanding can
罐身的顶端横截面扩大的罐,可以使用尺寸较大的全拉开罐盖。
3.15 直身罐 straight-wallcan
罐体从顶部到底部横截面直径恒定的罐。
3.16 缩颈罐 necked-in can
罐身的一端或两端横截面直径缩小的罐。
3.17 焊缝补涂罐 striped can
对罐身焊接罐的焊缝进行补涂的罐。
3.18 滚筋罐 beaded can
在罐身上滚压成多条有规则的凹凸棱状的金属罐。
3.19 撑胀罐 expanded can
罐身在成圆后再撑胀成形的金属罐,以获得更好的刚性或罐身外观。
3.20 卷开罐 key open can
罐身上部预先刻痕并带有舌状小片,用开罐钥匙卷开的金属罐。
3.21 易开盖 easy open end ;EOE
由铝合金薄板、镀锡或镀铬薄钢板制成,在开启部位有刻痕,并铆有拉环,以方便开启的罐盖。
3.22 易撕盖 easypeelable end;EPE
由铝合金薄板或镀锡(铬)薄钢板制成的盖圈与铝塑复合材料或高分子膜贴合而成,开启时能将铝塑膜撕开的盖。
3.23 罐盖 end
顶底盖
金属罐的构件,用于三片金属罐顶部或底部的盖。
3.24 补涂带 stripe
以液体辊涂、喷涂或粉末静电喷涂方式,在焊缝及其两侧覆盖的防蚀涂层。
3.25 毛刺 splash
因焊接温度过高,使焊点中心温度达到或超过铁的熔点,熔融金属被挤压抛出的形成物。当该形成物位于罐壁时称为飞溅点
3.26 冷焊 cold weld
假焊或虚焊
因焊接温度过低,两薄钢板被焊部位未能达到塑熔(仅锡被熔融)状态。
3.27 针孔 pin hole
焊接时,热熔的镀锡薄钢板因冷却速度较镀锡薄钢板收缩慢,而形成的穿透性孔隙。
3.28 击穿 puncture
焊缝中个别焊点,由于焊接电流突然过大(如因残留涂膜等引起),而使该点被熔化穿孔。
3.29 漏焊 missing welding
焊缝中一个或一个以上焊点无电流通过或电流过小、未能熔接的状态。
3.30 内涂膜完整性 enamel rate value;ERV
因原材料及加工工艺等因素,导致内涂膜表面出现不应有的微孔、划伤等缺陷,以缺陷引起的传导电流值表示。
3.31 二重卷边 double seam
通过头道滚轮和二道滚轮操作,使罐身的翻边和顶(底)盖的钩边相互钩叠、压紧形成的密封结构,二重卷边由三层顶(底)盖厚度和二层罐身厚度构成。
3.32 划线不良 faulty score
卷开罐罐身划线有缺陷,致使罐身泄漏,或开罐时卷不开、卷不到头以及因划线而造成外部印铁严重爆漆等现象。
3.33 卷边不完全 dead head;spinner;skidder;slip seam
滑口
封罐过程中,由于压头打滑或滚轮转动不良等原因所造成的局部卷边未完全压紧的现象。见图1。

图1 卷边不完全
3.34 跳封 jumped seam
由于焊缝处卷边较厚,滚轮经过焊缝时跳过而未能将卷边压紧的现象。见图2。

图2 跳封
3.35 假卷 false seam
假封
折叠的盖钩紧压折叠的身钩,但未相互钩合的卷边。见图3。

图3 假卷
3.36 大塌边 knocked-down flange;softcrab
封罐时由于罐身翻边或罐盖边缘严重碰瘪,致使罐身、罐盖没有相互钩合,在卷边下部有明显的罐身翻边露出现象。见图4。

图4 大塌边
3.37 锐边sharp seam
卷边顶部内侧的锋口。见图5
3.38 快口 cut-over
当锐边达到金属薄板断裂的程度。见图5

图5 锐边和快口
3.39 卷边“牙齿” vee, pinlip
封罐不良,盖钩和身钩局部未叠接,在卷边下缘所形成的V形突出。见图6。

图6 卷边“牙齿
3.40 铁舌 droop
因封罐不良,在卷边下缘明显露出的影响外观的舌状部分。见图7。

图7 铁舌
3.41 垂唇 droop at juncture
在罐身焊缝处超过卷边宽度20%的铁舌称垂唇。见图8。

图8 垂唇
3.42 卷边碎裂 cut seam;fractured seam
因封罐不良,卷边外层金属薄板断裂现象,一般发生在罐身焊缝处。见图9。

图9 卷边碎裂
3.43 双线 double line
在卷边下缘被卷边滚轮轧出的二重线状明显损坏金属薄板的轧痕。
3.44 叠接长度 overlap Length;OL
卷边内部盖钩与身钩相互重叠成搭接状态的长度。
3.45 叠接率 Overlap Percent
卷边内部身钩和盖钩重叠的程度,
3.46 皱纹度 Wrinkle rating
卷边解体后,盖钩内侧周边凹凸不平的皱曲程度占整个盖钩长度的比例,以百分数表示,皱纹不包括在卷边过程中皱纹滚压平整后所留下的痕迹。见图10。
3.47 紧密度 tightness rating
卷边解体后,盖钩内侧平整部分占整个盖钩的比例。见图10。

图10 皱纹度和紧密度
3.48 身钩卷入率 body hookbutting;BHB
接逢交叠处罐身钩占理论身钩长度的百分率。
3.49 盖钩卷入率 cover hookbutting;CHB
接缝交叠处罐盖钩占理论盖钩长度的百分率。
3.50 外挤胶 external squeezing of compound
罐外卷边下缘露出密封胶的现象。
3.51 内流胶 internalsqueezing of compound
罐头容器内部卷边沟槽露出密封胶的现象。
3.52 漏罐 leaked can
罐头密封性存在缺陷,或由于撞击而破坏密封,或罐壁因腐蚀而穿孔等原因造成泄漏的现象。
3.53 瘪罐 dent can
罐头受外力作用或真空度过高等造成的显著瘪陷变形现象。
3.54 凸角 buclke;peaking
罐头容器的底部或顶盖出现角状凸起的现象。
3.55 擦伤 scratches
镀锡层、覆膜、涂膜或外印漆膜上,受外力摩擦或损伤造成的磨损或划伤。
3.56 焊缝错位 off-set
因端面搭接不良导致焊缝端口不平的现象。
3.57 焊缝拖尾 fishtail
因焊接不良导致焊缝尾端突出的现象。
3.58 涂膜脱落 lacquer off
罐内涂膜因腐蚀或机械作用成片状脱落,或涂膜已与金属薄板成片分离尚未脱落均称涂膜脱落。
3.59 硫化铁 ferric sulphide
内容物中的含硫化合物与罐壁铁基板作用而产生的疏松易脱落的黑色物质。
3.60 硫化斑 sulphide stains
内容物中的含硫化合物与罐壁锡层作用而产生的褐色至棕紫色的硫化锡斑痕。
3.61 氧化圈 oxidationcircle
素铁罐开罐后罐内壁的两端或一端的液面处出现的暗色腐蚀圈。
3.62 胀罐 swelled can
胖听
由于实罐罐内电化学作用、微生物活动产生气体或物理性原因,在罐内形成正压,使罐盖、罐底一端或两端、罐身外凸的现象。
3.63 罐内壁腐蚀 corrosion inside the can
实罐内壁与内容物作用发生了化学或电化学腐蚀,使金属离子等进入内容物。
3.64 均匀腐蚀 detinning
素铁罐内壁有全面均匀的熔锡现象,其表面呈现浅灰色的锡晶粒。
3.65 集中腐蚀 pitting
罐内壁有点状或片状熔锡或熔铁现象。
3.66 异常熔锡 abnormally rapid detinning
实罐经短期储藏后罐内壁快速熔锡,其整个表面呈现深灰色至黑色的腐蚀斑痕。
4 产品分类
4.1 按基板种类分为镀锡薄钢板罐、镀铬薄钢板罐、铝合金薄板罐。
4.2 按罐身内壁特性分为素铁罐、涂料铁罐、涂料铝罐、覆膜铁罐、覆膜铝罐。
4.3 按容器结构分为三片罐和两片罐。
示例见图11。


图11 三片罐和两片罐结构示意图
4.4 按容器形状分为圆罐和异形罐(方罐、长圆罐、椭圆罐、马蹄罐、梯形罐等)。
示例见图12。

图12 圆罐和异形罐横截面示意图
4.5 按罐身形状分为直身罐、锥形罐、缩颈罐、扩口罐、滚筋罐、撑胀罐罐等。
示例见图13。

图13 罐身形状示意图
4.6按开启方式分为易开盖罐、易撕盖罐、平底盖罐、卷开罐。
5 质量要求
5.1 原辅料要求
5.1.1 镀锡或镀铬薄钢板、铝合金薄板
应符合GB4806.9的规定及相应质量标准的规定
5.1.2铜线
应符合附录A的规定。
5.1.3其他辅料
应符合相关标准要求
5.2空罐、盖质量
5.2.1外观质量
5.2.1.1 空罐应无污染、无油污、无异味、完整、无变形、无明显锈蚀;除素铁罐外,不应有金属暴露。
5.2.1.2 印刷的主要图案和文字清晰。
5.2.1.3 卷开罐的划线应均匀,无划线不良及卷开舌头被焊死现象。
5.2.1.4 罐身加强筋应均匀、光滑完整,无首尾不接、凹凸皱纹和深浅不一现象,加强筋处的焊缝不得有裂纹。
5.2.1.5 顶底盖应无破损、无明显污染,表面无锈蚀,钩边无皱褶及变形,密封胶无堆胶、断胶、拖尾和明显气泡,易开盖拉环应无破损等其他缺陷。
5.2.2 焊缝质量
5.2.2.1 焊缝平整光滑,搭接均匀一致,焊点均匀连接,不得有冷焊、漏焊、针孔、击穿,不应有明显锈蚀、毛刺现象。
5.2.2.2 焊缝搭接量应满足制罐的加工要求,焊缝厚度应不大于原板厚度的1.5倍。
5.2.2.3封铁盖罐:焊缝错位和拖尾之和应不大于0.5mm。封铝盖罐:焊缝错位和拖尾之和应不大于0.2mm。
5.2.2.4直身罐焊缝应能整条撕下,不应有分层和断裂。
5.2.2.5焊缝加工变形部位不应有分层和断裂。
5.2.3补涂带质量
5.2.3.1焊缝补涂带应平滑均匀,完全覆盖焊缝及涂料留空部分,应无大气泡、焦黄和露铁点,液体补涂带不应有飞溅点。
5.2.3.2补涂带应固化完全,经试验后应无泛白、剥离、脱落。
5.2.3.3补涂带的厚度应满足内容物的要求,经硫酸铜试验后不得有密集腐蚀或线状腐蚀。
5.2.3.4粉末补涂带附着力撕拉长度,在杀菌前不应不大于12mm,杀菌后应不大于20mm,液体补涂带划格法附着力应达到1级。
5.2.4卷边质量
5.2.4.1卷边应完整,无明显擦伤、锈蚀、内流胶和外挤胶现象。
5.2.4.2卷边部位不应有卷边不完全、快口、假卷、大塌边牙齿、铁舌和垂唇、跳封、卷边碎裂、锐边、双线等和因压头及卷边滚轮故障引起的其他缺陷。
5.2.4.3卷边结构应由供需双方商定,主要指标要求宜符合表1、表2的规定。
表1 常规二重卷边结构要求
项目 |
封铁盖罐 |
封铝盖罐 |
圆罐/其他罐 |
方罐/梯形罐 |
圆
罐 / 其他罐 |
方罐/梯形罐 |
直边 |
圆角 |
直边 |
圆角 |
叠接长度/mm |
≥1.00 |
≥1.00 |
≥0.9 |
≥1.00 |
≥1.00 |
≥0.9 |
叠接率/% |
≥50 |
≥50 |
≥45 |
≥55 |
≥50 |
≥45 |
紧密度/% |
≥50 |
≥50 |
≥50 |
≥80 |
≥50 |
≥50 |
盖钩卷入率/% |
70~95 |
70~95 |
70~95 |
70~95 |
70~95 |
70~95 |
身钩卷入率/% |
注:其他罐包括长圆罐、椭圆罐、马蹄罐等异型罐,不包括方罐和梯形罐 |
表2 封铁盖罐微型二重卷边结构要求
项目 |
封铁盖罐 |
叠接长度/mm |
≥0.76 |
叠接率/% |
≥55 |
紧密度/% |
≥70 |
盖钩卷入率/% |
70~95 |
身钩卷入率/% |
70~95 |
卷边间隙/mm |
≤0.03 |
卷边宽度/mm |
2.5±0.20 |
5.2.5密封性能
罐体经加压试验或减压试验后应无泄漏。
5.2.6耐压强度
经耐压强度测试后,罐体及罐盖应无永久变形,不同罐型耐压强度宜符合表3的要求。
表3 耐压强度要求
罐型 |
直径/mm |
耐压强度/kPa |
圆罐 |
≤73.0 |
150 |
73.0~99.0 |
80 |
圆罐及异形罐 |
>99.0 |
40 |
浅冲两片罐 |
≥52.3 |
80 |
注:不同产品对耐压强度要求不同,供需双方共同协商满足产品要求。 |
5.2.7涂膜性能
5.2.7.1 内涂膜完整性
内涂膜完整性应符合表4的要求。
表4 内涂膜完整性要求
名称 |
单个电流值/mA |
平均值/ mA |
液体补涂罐 |
≤30 |
≤15 |
粉末补涂罐 |
≤15 |
≤8 |
盖内涂膜完整罐 |
≤8 |
≤5 |
注:供需双方应根据内容物特性,确定具体要求。 |
5.2.7.2内外涂膜固化性
经试验后,罐身、罐盖内壁应无腐蚀,内涂膜应无泛白、剥离、脱落和起泡,外涂膜应无失光、剥离、脱落、起泡,印刷图案无明显褪色。
5.2.7.3 抗酸性
经试验后,罐身及罐盖内壁应无腐蚀,内涂膜应无泛白、剥离、脱落和起泡。
5.2.7.4抗硫性
经试验后,罐身及罐盖内壁应无硫化铁及硫斑,内涂膜应无泛白、剥离、脱落和起泡。
5.2.7.5抗盐性
经试验后,罐身及盖内壁应无密集腐蚀点,内涂膜应无泛白、剥离、脱落和起泡。
注:根据内容物的特性对抗酸性、抗硫性、抗盐性进行要求。
5.2.8密封胶性能
5.2.8.1密封胶耐水性
经水煮后密封胶不应有卷曲、发黏、异味、脱落等现象。
5.2.8.2密封胶含水率
含水率不大于5%。
5.3实罐容器质量
5.3.1外观质量
实罐容器应完好,无漏罐、胀罐、瘪罐及凸角。
5.3.2罐内壁质量
5.3.2.1素铁罐内壁
无明显的氧化圈,无集中腐蚀、异常溶锡及穿孔,无漏罐、胀罐。无内流胶。
5.3.2.2 涂料铁罐、涂料铝罐内壁
无内流胶,内壁涂膜应完整,不应剥离或脱落,不应有硫化铁和明显的硫化斑,也不应有集中腐蚀或腐蚀扩散现象及穿孔。
5.3.2.3覆膜铁罐、覆膜铝罐内壁
无内流胶,内壁覆膜应完整,不应剥离或脱落,不应有硫化铁和明显的硫化斑,也不应有集中腐蚀或腐蚀扩散现象及穿孔。
5.3.3卷边质量要求
应符合同表1和表2的要求。封铁盖罐的方罐/梯形罐圆角的紧密度应不下于40%。
6 食品安全要求
应符合相应食品安全国家标准的要求。
7 试验方法
7.1外观、焊缝、卷边
7.1.1仪器和设备
7.1.1.1开罐刀,见图14。

图14 开罐刀示意图
7.1.1.2罐头工业专用卡尺,见图15。

图15 罐头工业专用卡尺
7.1.1.3螺旋测微计,见图16。

图16 螺旋测微计
7.1.1.4千分尺
7.1.1.5游标卡尺、深度尺
7.1.1.6卷边切割机或卷边专用锯
7.1.1.7卷边投影仪
7.1.1.8胀罐器
7.1.1.9钢丝钳、平口钳
7.1.1.10体视显微镜
7.1.2试验步骤
7.1.2.1外观
目视检验容器外观质量。
7.1.2.2焊缝
7.1.2.2.1 外观:目视焊缝整体;将焊缝撕下,经180°弯折后拉平观察是否有分层、断裂。
7.1.2.2.2 焊缝厚度:将焊缝撕下,观察剖面,用体式显微镜量取焊缝厚度,并记录数值。
7.1.2.2.3焊缝搭接量:焊缝宽度和搭接量的关系按式(1)计算:
(1)
式中:
W — 焊缝宽度,单位为毫米(mm)
R — 搭接量,单位为毫米(mm)
T — 焊缝厚度,单位为毫米(mm)
t — 镀锡薄板厚度,单位为毫米(mm)
7.1.2.2.4 焊缝错位和拖尾,将焊缝整体剪下,用体式显微镜观察,量取错位和拖尾长度。
7.1.2.2.5 直身罐焊缝、罐加工变形部位;将焊缝撕下,经180°弯折后拉平观察是否有分层、断裂。
7.1.2.3 卷边
7.1.2.3.1检测部位
卷边外部及卷边结构检测按图17所示取样进行。

图17 检测部位
7.1.2.3.2卷边宽度、卷边厚度
在图17的1、2、3部位,用螺旋测微计测量。
7.1.2.3.3叠接长度(OL),叠接率(OL%)
主要包括以下方法:
— 投影法(仲裁法):在图17的1、2、3部位,用卷边切割机或卷边专用锯切取卷边截面,然后用卷边投影仪测定图18所示卷边的a、b值,其中a为叠接长度(OL),即盖钩与身钩的重合长度,b为理论叠接长度,并按a/b×100%计算叠接率。
— 计算法和查表法见资料性附录B.1.

图18叠接长度和叠接率测量图
7.1.2.3.4紧密度(TR)
用钳子沿罐边拉去罐盖,轻轻敲下整圈盖钩,观察盖钩的皱曲状态,接缝处盖钩下垂程度和罐身的压痕情况,按3.44中的图10所示测量,紧密度和皱纹度成对应关系。见式(2):
TR=1–WR (2)
式中:
TR — 紧密度,%;
WR — 皱纹度,%。
7.1.2.3.5身钩卷入率和盖钩卷入率
身钩和盖钩示意图见图19,用卷边投影仪测量身钩长度,盖钩长度、卷边宽度,然后按式(3)和式(4)计算:
(3)
(4)
式中:
BH — 身钩长度,单位为毫米(mm);
CH — 盖钩长度,单位为毫米(mm);
tc — 罐盖用铁厚度 ,单位为毫米(mm);
tb — 罐身用铁厚度,单位为毫米(mm);
W — 卷边宽度 ,单位为毫米(mm)。


图19 身钩和盖钩测量示意图
7.2补涂带
7.2.1仪器与设备
7.2.1.1压力蒸汽灭菌锅
7.2.1.2 粘着力至少为47N/100mm
7.2.2试剂和溶液
本试验方法中所用的水,在未注明其他要求时,均指符合GB/T6682分析实验室用水规格和试验方法三级以上的水。
本试验方法中所用的试剂,在未注明规格时,均指分析纯(AR)。若有特殊要求需另作明确规定。
本试验所用溶液在未注明用何种溶剂配制时,均指水溶液。
7.2.2.1 试剂
7.2.2.2.1硫酸铜(CuSO4 • 5H2O)。
7.2.2.2.2盐酸(36%的盐酸)。
7.2.2.2 硫酸铜盐酸溶液【20%(质量分数)硫酸铜、10%(体积分数)盐酸】配制
称取250g硫酸铜(CuSO4• 5H2O),加入875ml水,再量取100ml盐酸加入该溶液中,混匀。用水定容至1000ml。
7.2.3试验步骤
7.2.3.1外观
目视试验
7.2.3.2 固化性
在罐体中加水至液面距罐口约3mm处并密封,将样品放入蒸煮容器中,根据内容物的杀菌工艺确定加热温度和时间,加热结束后取出样品,放在自来水中冷却,开罐将水倒出,目视检查补涂带。
7.2.3.3 补涂带完整性
将7.2.3.2检验后的空罐补涂带浸没在硫酸铜盐酸溶液中,2min后取出空罐,用自来水冲洗干净,干燥后用10倍的放大镜目视检查。
7.2.3.4 附着力
方法如下:
— 粉末补涂带试验方法:如图20,在离粉末补涂带5mm处,将焊缝补涂带剪下,在补涂带两边剪取对称的三角形小口,沿三角形尖端反复对折,直至把铁折断,但不能破坏粉末补涂带,固定一端,使另一端与固定端呈60°角并用力拉至粉末涂膜断裂,测量固定端粉末补涂膜脱落的长度L。
— 液体补涂膜附着力试验采用划格法,然后用符合条7.2.1.2要求的胶带撕拉,观察补涂膜脱落面积,参照QB/T 2763-2006判定附着力级别。试验流程见图21。

图20 粉末补涂附着力示意图

图21 液体补涂附着力实验示意图
7.3耐压强度
7.3.1仪器和设备:耐压强度测试仪分度值不大于10kPa。
7.3.2耐压强度:将罐体缓慢升至相应压力,保压2min后,目视观察。
7.4密封性
7.4.1仪器和设备
罐体密封性测试仪
7.4.2试验方法
7.4.2.1方法1:减压试验
将容器洗净,50℃,2h倒置烘干,在烘干的容器内注水,至容积的80%~90%,将一带橡胶圈的有机玻璃板放置罐头开启端的卷边上,使其保持密封。启动真空泵,用手按住盖板,控制抽气,使真空度表读数缓慢升到0.068MPa,并保持2min,仔细观察罐体卷边及焊缝处有无气泡产生。凡同一部位有连续气泡产生即判断为泄漏,标记漏气部位。
7.4.2.2 方法2:加压试验(仲裁法)
将容器洗净,50℃,2h倒置烘干,将容器浸在加压检漏仪水槽中,缓慢加压至0.26MPa并保持2min,仔细观察罐体,尤其是卷边焊缝处,有无气泡产生。凡同一部位连续产生气泡,即判断为泄漏,标记漏漏气部位。巴氏杀菌的样品测试压力可采用0.068MPa。
注:此密封性测试不适用于易撕盖
7.5 内外涂膜性能
7.5.1 仪器和设备
压力蒸汽灭菌器、内涂膜完整性测试仪
7.5.2试剂和溶液
7.5.2.1 柠檬酸(C6H8O7• H2O)
7.5.2.2 L型半胱氨酸盐酸盐(0.5g/L)
7.5.2.3 磷酸二氢钾(3.6g/L)
7.5.2.4磷酸氢二钠(7.2g/L)
7.5.2.5 氯化钠(3%质量分数)
7.5.2.6硫酸钠(2%质量分数)
7.5.3试验步骤
7.5.3.1内涂膜完整性
将空罐121℃/30min模拟杀菌后,在罐内加2%(质量分数)硫酸钠溶液(称取硫酸钠20g,用水溶解并稀释至1000ml),液面距罐口3mm,使用6.3V涂膜完整性测试仪,罐体接正极,插入不锈钢棒接负极,读取第4秒的内涂膜缺陷电流值。
7.5.3.2内外涂膜固化性试验
将罐体或盖整体放入高压杀菌锅中,加入蒸馏水浸没试样并密封,根据内容物的杀菌工艺确定杀菌温度和时间,试验后取出,放在冷水中冷却,干燥后目视检查。
7.5.3.3抗酸性
将2%(质量分数)柠檬酸溶液【称取一水柠檬酸(C6H8O7• H2O)20g,用水溶解并稀释至1000ml】,加入空罐至距液面约3mm并密封,罐盖置于一惰性容器中,加入溶液并密封,根据内容物杀菌工艺确定加热温度和时间,试验后取出,放在自来水中冷却,开罐并用清水冲洗,干燥后目视检查。
7.5.3.4抗硫性
L型半胱氨酸盐酸盐(0.5g/L)、磷酸二氢钾(3.6g/L)、磷酸氢二钠(7.2g/L)的混合溶液;
称取L型半胱氨酸盐酸盐(C3H8NO2SCL)0.50g或一水合L型半胱氨酸盐酸盐(C3H8NO2SCL·H2O)0.56g、十二水合磷酸二氢钾3.6g(KH2PO4·12H2O)、十二水合磷酸氢二钠(Na2HPO4·12H2O)7.2g,分别用水溶解后,混合并稀释至1000ml,混合溶液应在配制后4h内使用。
将溶液加入空罐至距液面约3mm并密封,罐盖置于一惰性容器中,加入溶液并密封,根据内容物杀菌工艺确定加热温度和时间,试验后取出容器,放在自来水中冷却,开罐并用清水冲洗,干燥后目视检查。
7.5.3.5抗盐性
将3%(质量分数)氯化钠溶液(称取30g氯化钠,定容到1000ml,摇匀)加入空罐至距液面约3mm并密封,罐盖置于一惰性容器中,加入溶液并密封,根据内容物杀菌工艺确定杀菌温度和时间,试验后取出容器,放在冷水中冷却,开罐并用清水冲洗,干燥后目视检查。
7.6密封胶性能
7.6.1仪器和设备
分析天平:精度0.001g
7.6.2试验步骤
7.6.2.1 密封胶耐水性
将样盖放入盛有水的玻璃容器中,水没过样盖约50mm,将玻璃容器放入高压锅中,经100℃,20min水煮后,取出样盖,观察密封胶性能。
7.6.2.2密封胶含水率
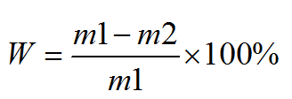
将密封胶挑下称取质量记为m1,放入125℃烘箱中烘烤30min至恒重,取出后质量记为m2,密封胶含水率按式(5)计算
(5)
式中:
W — 密封胶含水率,%;
m1 — 密封胶烘干前的质量;
m2 — 密封胶经125℃烘烤30min后的质量。
8 检验规则
8.1检验应按货批或货组进行,按一次交货的同一规格的产品为一个货批。同一个货批,经双方协商可分为若干货组,货组应为整数倍的包装件。
8.2产品检验包括出厂检验和型式检验项目。
8.3出厂检验项目为外观、焊缝、补涂带、卷边、密封性能、耐压强度、内外涂膜性能、密封胶性能。型式检验项目为标准规定所有指标。
8.4产品有下列情况之一时应进行型式检验:
a) 新产品或老产品转产试制定型鉴定;
b) 当结构、材料、工艺改变,可能影响产品性能时;
c) 正常生产,每半年进行一次;
d) 长期停产后,恢复生产时;
e) 出厂检验结果与上次型式检验有较大差异时;
f) 国家质量监督机构提出进行型式检验的要求时。
8.5不合格分类见表5和表6。
表5 易开盖、顶底盖外观不合格分类
不合格分类 |
缺陷内容 |
A类不合格 |
盖破损,表面明显锈蚀,钩边严重皱褶变形,未涂密封胶、盖内面明显油污、异物污染、金属暴露,涂膜剥离或脱落,易开盖无拉环;
经固化性、耐酸性、抗硫性、抗盐性试验后,盖内涂膜有泛白、剥离、脱落和起泡 |
B类不合格 |
钩边明显皱褶,密封胶断胶、堆胶、拖尾、有明显气泡,盖内面有少量污染、锈蚀 |
C类不合格 |
内外涂膜有划痕、擦伤但金属尚未暴露,钩边轻度皱褶和变形,密封胶搭接不均匀 |
表6罐体不合格分类
不合格分类 |
缺陷内容 |
A类不合格 |
空罐:
a)罐体变形,罐体内明显油污、异物污染、异味、明显锈蚀、涂料铁金属暴露;
b)印刷图案和文字倒置,外涂膜明显失光、剥离、脱落;
c)焊缝搭接不一致,焊点连接不均匀、有冷焊、漏焊、针孔、击穿、明显锈蚀,在加工部位焊缝有裂口、分层;
d)二重卷边有假卷、大塌边、快口、卷边破碎;
e)经耐压试验有永久变形;
f)经固化性、抗酸性、抗硫性、抗盐性试验后内涂膜有泛白、剥离、脱落和起泡。
实罐:
a) 外观:有漏罐、胀罐(包括假胀罐)、严重瘪罐;
b) 经密封性试验有泄漏;
c) 实罐内壁腐蚀:有硫化铁已明显污染内容物,或有严重硫化斑;涂料铁罐内壁腐蚀扩散,涂膜呈片状大面积剥落或脱落,有集中腐蚀或穿孔,素铁罐内壁严重腐蚀、脱锡呈灰黑色或集中腐蚀、穿孔 |
B类不合格 |
空罐:
a) 卷开罐的划线不均匀,卷开舌头有被焊死现象;
b) 罐体内涂膜有明显气泡、焦黄,明显划痕已有少量金属暴露;外涂膜轻度失光、剥离、脱落、印刷图案褪色,底盖表面的锈蚀明显已影响外观;液体补涂罐的焊接有飞溅点、补涂膜附着力劣于1级;粉末补涂带附着力杀菌前大于12mm,杀菌后大于20mm;
c) 卷边有较明显的铁舌、垂唇、牙齿;卷边不完全、明显擦伤、跳封、填料挤出;
d) 卷边受到较大影响的瘪罐;
实罐:
a)罐内壁腐蚀:有明显硫化斑,或有少量硫化铁,但尚未污染内容物;素铁罐内壁有局部脱锡或严重氧化圈,涂料铁罐有少量块状腐蚀;
b)内流胶 |
C类不合格 |
空罐:
a) 印色和样板有轻微差别,印刷图案和文字轻微错位;未暴露金属的小划痕;卷边溢胶;底盖和卷边有可以擦去的表面锈蚀;锡层和外印铁有擦伤和机械损伤尚未暴露金属;
b) 对焊缝或卷边无影响的瘪罐;焊缝厚度大于原板厚度的1.5倍,封铁盖罐焊缝和拖尾总和超过0.5mm,封铝盖罐焊缝和拖尾总和超过0.2mm;
c) 加强筋缺滚、首尾不接、焊缝有分层和断裂;
d) 较轻微的锐边、铁舌、垂唇、牙齿、双线和因压头及卷边滚轮故障引起的其他缺陷 |
8.6内涂膜固化、抗酸性、抗硫性、抗盐性按一次抽样方案进行检验、判定,见表7。
表7内涂膜性能检验抽样方案及判定
名称 |
检验项目 |
检查水平 |
不合格分类 |
批量范围 |
接受质量限AQL |
样本数 |
判定数组 |
易开盖、底盖、罐体 |
内涂膜固化 |
SI |
A类不合格 |
≥35001 |
0.65 |
12 |
[0 1] |
抗酸性 |
抗硫性 |
抗盐性 |
8.7其他出厂检验和型式检验项目按 GB/T 2828.1 中正常检验二次抽样方案进行检验、判定,见表8和表9。
表8检查水平和接收质量限(AQL)
名称 |
检验项目 |
批检查水平 |
不合格分类 |
接收质量限AQL |
易开盖、底盖 |
外观 |
S-4 |
A类不合格 |
0.65 |
B类不合格 |
2.5 |
C类不合格 |
4.0 |
内外涂膜性能 |
S-1 |
A类不合格 |
1.0 |
密封胶膜含水率 |
S-1 |
B类不合格 |
2.5 |
密封胶耐水性 |
S-1 |
B类不合格 |
2.5 |
耐压强度 |
S-1 |
A类不合格 |
1.0 |
罐体 |
外观 |
S-4 |
A类不合格 |
0.65 |
B类不合格 |
2.5 |
C类不合格 |
4.0 |
卷边结构 |
S-1 |
A类不合格 |
1.0 |
内外涂膜性能 |
S-1 |
A类不合格 |
1.0 |
焊缝补涂完整性 |
S-1 |
A类不合格 |
1.0 |
耐压强度 |
S-1 |
A类不合格 |
1.0 |
密封性 |
S-1 |
A类不合格 |
1.0 |
实罐容器 |
外观 |
S-1 |
A类不合格 |
1.0 |
密封性 |
S-1 |
A类不合格 |
1.0 |
罐内壁腐蚀 |
S-1 |
A类不合格 |
1.0 |
S-4 |
B类不合格 |
0.65 |
内流胶 |
S-4 |
B类不合格 |
0.65 |
表9 正常检验二次抽样方案
检查水平 |
批量范围 |
接收质量限
AQL |
样本数 |
判定数组 |
S-1 |
≥35 001 |
1.0 |
13 |
[ 0 1 ] |
2.5 |
5 |
[ 0 1 ] |
S-4 |
35 001~500 000 |
0.65 |
50
50 |
┌ 0 2 ┐
└ 1 2 ┘ |
2.5 |
50
50 |
┌ 2 5 ┐
└ 6 7 ┘ |
4.0 |
50
50 |
┌ 3 6 ┐
└ 9 10 ┘ |
≥500 001 |
0.65 |
80
80 |
┌ 0 3 ┐
└ 3 4 ┘ |
2.5 |
80
80 |
┌ 3 6 ┐
└ 9 10 ┘ |
4.0 |
80
80 |
┌ 5 9 ┐
└12 13┘ |
8.8 判定规则如下:
—— 出厂检验判定规则:出厂检验项目全部符合本标准,判定该批为合格。出厂检验如有不合格项目,可以再次抽样复检,复检后仍不合格的,判定该批为不合格。
——型式检验判定规则:型式检验项目全部符合本标准,判定型式检验合格。型式检验如有不合格项目,可以再次抽样复检,复检后仍不合格的,判为型式检验不合格。
9 标志、包装、运输与贮存
9.1标志
产品外包装应有产品检验合格证和装箱单,内容应包括有生产厂的标记和名称、产品名称、产品规格、生产编号、生产日期、数量。
9.2 包装
9.2.1 包装应满足集装和运输要求,包装材料应清洁,不允许有异味和污染等
9.2.2 易开盖、顶底盖可采用符合食品安全要求的中性纸包装袋包装或其他适合的包装。
9.2.3易开盖、顶底盖装袋后用纸箱或托盘包装,用纸箱包装的要封闭箱口。用托盘包装的外加捆扎和塑料薄膜包封。
9.2.4罐体采用托盘包装。包装罐数及层数由供需双方商定,层与层之间用中性纸板隔开,外加捆扎和塑料薄膜包封。
9.2.5潮湿季节易受回潮影响的原辅材料及产品必要时应采取防潮措施或包装,防止回潮受损。
9.3 运输
运输及搬运工具应清洁、干燥、不允许有异味、污染、装运时应避免雨淋、暴晒、受潮及损毁。
9.4贮存
9.4.1产品应贮存在通风、干燥、清洁的库房内,避免阳光直接照射。
9.4.2在正常贮存条件下,低铬铁空罐保质期为6个月,其他空罐及顶底盖保质期为两年。
附 录 A
(规范性附录)
用于罐头金属容器焊接用的纯铜线质量要求
A.1线材牌号、化学成分及供应状态
应符合GB/T5231-2012中牌号T2型线材的化学成分规定,供应状态:软(M)
A.2线材直径及允许偏差
线材直径及允许偏差应符合表A.1的规定。
表 A.1 线材直径允许偏差
线材直径(mm) |
允许偏差/mm |
≤1.30 |
+0.00
–0.04 |
1.38 |
+0.00
–0.04 |
1.50 |
+0.00
–0.04 |
A.3 表面质量
A.3.1线材表面应光滑、清洁,不应有裂纹、起皮、毛刺、粗拉道、折叠和夹杂。轻微的、局部的压入物、斑点、凹坑、划伤等缺陷,应不使线材直径超出允许偏差,并不影响焊接质量。
A.3.2轻微的发红、发暗和氧化色及轻微的局部水迹、油迹,不影响焊接使用的不作报废依据。
A.4 机械性能
线材的抗拉强度和伸长率应符合表A.2的规定。
表A.2 线材的抗拉强度和伸长率要求
线材直径/mm |
抗拉强度,N/mm2 |
伸长率δ/%
(IP=100mm) |
1.30~1.50 |
225~285 |
≥20 |
注:IP是指样品检测有效长度 |
A.5 线材不圆度
线材不圆度应不超出直径允许偏差。
A.6 电阻系数
T2型号的线材在20℃时电阻系数应符合表A.3的规定。
表A.3 线材电阻系数要求
材料状态 |
电阻系数β/Ωmm2/m |
软(M) |
≤0.01800 |
A.7 采用线桶包装的线桶重量
A.7.1应符合表A.4的规定。
表A.4 线桶重量要求
线材直径/mm |
每桶重量
不少于/kg |
标准桶 |
较轻桶 |
1.30~1.50 |
140 |
100 |
A.7.2每批可交付重量不大于10%的较轻线桶,每桶线材不应多于2根线头,线材头、尾应有“头”、“尾”标志。
附 录 B
(资料性附录)
叠接长度和叠接率计算法、查表法
B.1计算法
B.1.1 根据图B.1测量数据,由式(B.1)和式(B.2)计算叠接长度和叠接率
(B.1)
(B.2)
式中:
OL—— 叠接长度,单位为毫米(mm)
BH—— 身钩长度,单位为毫米(mm)
CH—— 盖钩长度,单位为毫米(mm)
te—— 底盖用铁厚度,单位为毫米(mm)
tb—— 罐身用铁厚底,单位为毫米(mm)
W—— 卷边宽度,单位为毫米(mm)

图 B.1
B.2查表法
根据测量数据,查叠接率计算表,见表B.1.
